tyc5997太阳集团
欢迎光临 tyc5997太阳集团
首页
太阳概况
学院简介
组织结构
现任领导
院史回顾
党群工作
党建活动
工会工作
样板支部
本科教育
专业介绍
教学成果
学生培养
实验室建设
研究生教育
专业介绍
学硕导师简介
专硕导师简介
优质课程
学科科研
学科简介
平台建设
科研团队
科研成果
学团工作
学生党建
素质教育
共青团工作
校友工作
太阳集团
信息管理与信息系统
工程管理与工程造价
工业工程
安全工程
应急技术与管理
人事人才
人才招聘
人才项目
招生就业
本科招生
研究生招生
本科就业
研究生就业
社会服务
服务项目
成功案例
山东应急管理学院
学院简介
学院新闻
教育教学
科学研究
专家团队
应急培训
应急咨询
联系我们
学团工作
学生党建
素质教育
共青团工作
校友工作
学团工作
首页 > 学团工作 > 正文
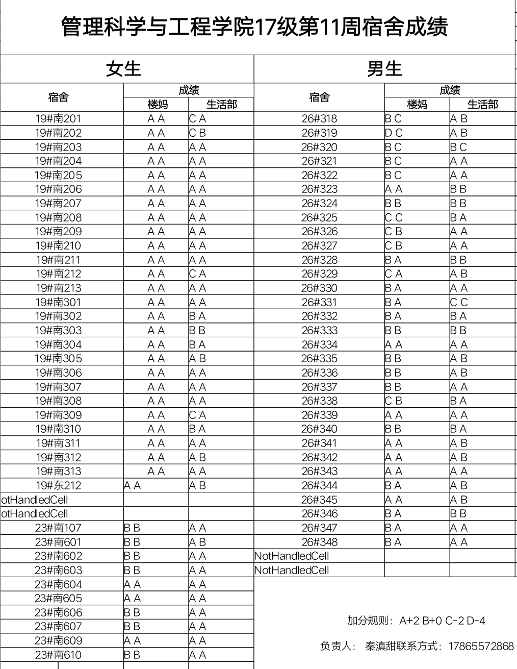
tyc5997太阳集团第十一周宿舍成绩
2018-05-20 17:14
【
关闭窗口
】